English
全部
搜索
图片
视频
短视频
地图
资讯
更多
购物
航班
旅游
笔记本
报告不当内容
请选择下列任一选项。
无关
低俗内容
成人
儿童性侵犯
时长
全部
短(小于 5 分钟)
中(5-20 分钟)
长(大于 20 分钟)
日期
全部
过去 24 小时
过去一周
过去一个月
去年
清晰度
全部
低于 360p
360p 或更高
480p 或更高
720p 或更高
1080p 或更高
源
全部
Dailymotion
Vimeo
Metacafe
Hulu
VEVO
Myspace
MTV
CBS
Fox
CNN
MSN
价格
全部
免费
付费
清除筛选条件
安全搜索:
中等
严格
中等(默认)
关闭
筛选器
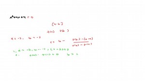
By Using Regular Falsi Method Solve 2x – 3sin X – 5 = 0. - Applie
…
2025年1月8日
shaalaa.com
SOLVED:Compute the root of the equation x^2 4 x 4=0, by… | Nume
…
2024年2月13日
numerade.com
13:12
Regula-Falsi Method|Computer Based Statistical and Numerical A
…
已浏览 24 次
2 周前
YouTube
ECL365 CLASSES
Method of False Position Numerical Analysis || Regula Falsi Method ||
…
已浏览 292 次
2022年8月8日
YouTube
Aaqib Academy
Bisection method || Bisection method in hindi
已浏览 60.7万 次
2020年3月30日
YouTube
Dev prit
Regular falsi method example
已浏览 976 次
2020年9月8日
YouTube
Engineering mathematics made easy for all
Regula Falsi method x³-2x-5=0-Solutions of Algebraic And Transc
…
已浏览 6万 次
2021年8月22日
YouTube
Btech Maths Hub
4:18
False Position Method | Numerical Methods
已浏览 4.9万 次
2021年4月27日
YouTube
StudySession
9:04
Newton Raphson Method - Working rule in hindi (Part-I)
已浏览 93.1万 次
2016年3月18日
YouTube
Bhagwan Singh Vishwakarma
9:37
Regula falsi method in calculator
已浏览 21.3万 次
2020年12月1日
YouTube
Smart Engineer
6:01
Regula Falsi Method Solved Example | Numerical Methods
已浏览 3.9万 次
2018年10月5日
YouTube
Ambreen Kayani
21:19
Regula Falsi Method | False Position Method | Numerical Methods
已浏览 159.7万 次
2019年7月6日
YouTube
Dr.Gajendra Purohit
5:52
Regula falsi method in 5 minutes
已浏览 63.7万 次
2020年12月1日
YouTube
Smart Engineer
9:31
Advanced calculus & Numerical methods Regula Falsi method que
…
已浏览 8.5万 次
2017年11月10日
YouTube
EASY MATHS EASY TRICKS
12:17
5. Regula Falsi Method | Problem#1 | Complete Concept
已浏览 20.2万 次
2018年5月6日
YouTube
MKS TUTORIALS by Manoj Sir
11:19
Order of convergence of Regula Falsi method
已浏览 1.3万 次
2021年6月21日
YouTube
Maths Is everywhere
8:46
Regula Falsi Method || with example || upto three iterations
已浏览 18.9万 次
2017年12月8日
YouTube
rules. com
13:18
Numerical Method Bangla Tutorial 2 : Regular Falsi Method
已浏览 16.3万 次
2015年9月17日
YouTube
Anisul Islam
11:17
How to Learn Python With Full Information? – [Hindi] – Quick Sup
…
已浏览 88.2万 次
2020年11月12日
YouTube
Quick Support
11:04
Root Finding - False-Position Method | Numerical Methods (Tag
…
已浏览 8.1万 次
2020年9月9日
YouTube
engrleir
15:58
Regula Falsi Method | Using Calculator fx-991ES Plus | False P
…
已浏览 4.4万 次
2021年4月11日
YouTube
The Versatile Mind
11:43
Regula falsi method || Method of false position
已浏览 13万 次
2020年2月15日
YouTube
Civil learning online
8:44
Example of Regula Falsi/False Position Method-lecture6/m3
已浏览 3.9万 次
2019年3月16日
YouTube
asha khilrani
26:25
Regula Falsi Method || False Position Method || Geometrical Int
…
已浏览 1.3万 次
2020年9月4日
YouTube
Learn Mathematics with V K Mishra
7:36
Using simple steps Regula falsi method good example(PART- 5)
已浏览 4.1万 次
2017年11月11日
YouTube
EASY MATHS EASY TRICKS
16:11
5. Secant Method | Working Rule & Problem#1 | Complete Concept | N
…
已浏览 17.8万 次
2020年12月16日
YouTube
MKS TUTORIALS by Manoj Sir
24:18
Bisection Method | Numerical Methods | Solution of Algebraic &
…
已浏览 229.3万 次
2019年7月1日
YouTube
Dr.Gajendra Purohit
7:26
Easily solve Regula Falsi method good example
已浏览 3万 次
2017年11月11日
YouTube
EASY MATHS EASY TRICKS
15:26
6. Newton Raphson Method | Working Rule & Problem#1 | Com
…
已浏览 31.7万 次
2020年12月17日
YouTube
MKS TUTORIALS by Manoj Sir
22:50
[Hindi] Jupyter Notebook Installation and demo | Python Dat
…
已浏览 27.8万 次
2018年8月19日
YouTube
CodeWithHarry
观看更多视频
更多类似内容
反馈